Subsections

Basic quantum operations

To manipulate quantum registers and to implement quantum algorithms, libquantum provides a set of function for quantum register manipulation by quantum gates. Each gate is called via a common interface:

quantum_NAME(QUBIT[S], [PARAMETER], &REGISTER);

NAME is the name of the gate, QUBIT[S] are one ore more integers describing the Qubits that are relevant for the operation. All qubits are given in a notation starting with 0 as the least significant bit. Some functions require an additional PARAMETER, e.g. an angle of a rotation. &REGISTER contains the address of the quantum register.

quantum_cnot

extern void quantum_cnot(int control, int target, quantum_reg *reg);

This function performs a controlled not operation. The target bit gets inverted if the control bit is enabled. The operation can be written as the unitary operation matrix

\begin{displaymath}U = \left(\begin{array}{cccc}
1 & 0 & 0 & 0\\
0 & 1 & 0 & 0\\
0 & 0 & 0 & 1\\
0 & 0 & 1 & 0
\end{array}\right) \; .\end{displaymath}

quantum_toffoli

extern void quantum_toffoli(int control1, int control2, int target, quantum_reg *reg);

This operation is a controlled-not with two controlling qubits. The unitary operation matrix is

\begin{displaymath}U = \left(\begin{array}{cccccccc}
1 & 0 & 0 & 0 & 0 & 0 & 0 &...
... 0 & 1\\
0 & 0 & 0 & 0 & 0 & 0 & 1 & 0
\end{array}\right) \; .\end{displaymath}

quantum_unbounded_toffoli

extern void quantum_unbounded_toffoli(int controlling, quantum_reg *reg, ...);

An unbounded Toffoli gate is a controlled-not operation with an arbritrary number of controlling qubits. This gate is not considered elementary and is not available on all physical realizations of a quantum computer. Be sure that controlling contains the correct number of controlling qubits. The last argument contains the target qubit.

quantum_sigma_x, quantum_sigma_y, quantum_sigma_z

extern void quantum_sigma_x(int target, quantum_reg *reg);
extern void quantum_sigma_y(int target, quantum_reg *reg);
extern void quantum_sigma_z(int target, quantum_reg *reg);

These functions perform the Pauli spin operations, defined as

\begin{displaymath}\sigma_x = \left(\begin{array}{cc}0 & 1\ 1 & 0\end{array}\ri...
...z = \left(\begin{array}{cc}1 & 0\ 0 & -1\end{array}\right)\; .\end{displaymath}

Note that the $\sigma_x$ operation is the same as a not operation.

quantum_r_x, quantum_r_y, quantum_r_z

extern void quantum_r_x(int target, float gamma, quantum_reg *reg);
extern void quantum_r_y(int target, float gamma, quantum_reg *reg);
extern void quantum_r_z(int target, float gamma, quantum_reg *reg);

These functions perform a rotation of a qubit about an axis of the Bloch sphere. The angle of the rotation is given by gamma. The rotations can be described by their unitary operation matrices

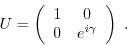
\begin{displaymath}U_{R_x} = \left(\begin{array}{cc}
\cos \frac{\gamma}{2} & -i ...
...}{2}} & 0\\
0 & e^{i \frac{\gamma}{2}}
\end{array}\right) \; .\end{displaymath}

quantum_phase_scale

extern void quantum_phase_scale(int target, float gamma, quantum_reg *reg);

This function adds a global phase on a qubit, as shown in its unitary operation matrix

\begin{displaymath}U = \left(\begin{array}{cc}
e^{i \gamma} & 0\\
0 & e^{i \gamma}
\end{array}\right) \; .\end{displaymath}

quantum_phase_kick

extern void quantum_phase_kick(int target, float gamma, quantum_reg *reg);

This function performs a phase kick or phase shift. It is described by the unitary operation matrix

\begin{displaymath}U = \left(\begin{array}{cc}
1 & 0\\
0 & e^{i \gamma}
\end{array}\right)\; .\end{displaymath}

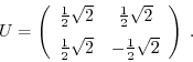
quantum_hadamard

extern void quantum_hadamard(int target, quantum_reg *reg);

This function provides the widely used Hadamard gate. The Hadamard gate can establish or destroy the superposition of a qubit. The unitary operation matrix is defined as

\begin{displaymath}U = \left(\begin{array}{cc}\frac{1}{2}\sqrt{2} &
\frac{1}{2}\...
...rac{1}{2}\sqrt{2} &
-\frac{1}{2}\sqrt{2}\end{array}\right) \; .\end{displaymath}

quantum_walsh

extern void quantum_walsh(int width, quantum_reg *reg);

The Walsh-Hadamard transform consists of Hadamard gates applied on the first width qubits of the quantum register.

quantum_cond_phase

extern void quantum_cond_phase(int control, int target, quantum_reg *reg);

This function performs a conditional phase shift. It is a controlled phase kick about the angle $\frac{\pi}{2^k}$ with $k =
\mathtt{control} - \mathtt{target}$. The unitary operation matrix is

\begin{displaymath}U = \left(\begin{array}{cccc}
1 & 0 & 0 & 0\\
0 & 1 & 0 & 0\...
... 0\\
0 & 0 & 0 & e^{i \frac{\pi}{2^k}}
\end{array}\right) \; .\end{displaymath}

quantum_cond_phase_kick

extern void quantum_cond_phase_kick(int control, int target, float gamma, quantum_reg *reg);

This function does a phase kick on the target bit about the angle gamma, controlled by control. The unitary operation matrix is defined as

\begin{displaymath}U = \left(\begin{array}{cccc}
1 & 0 & 0 & 0\\
0 & 1 & 0 & 0\...
... & 0 & 1 & 0\\
0 & 0 & 0 & e^{i \gamma}
\end{array}\right)\; .\end{displaymath}

quantum_gate1

extern void quantum_gate1(int target, quantum_matrix m, quantum_reg *reg);

This function provides an interface for arbitrary 1-bit operations. The operation matrix is given in the following structure:

quantum_matrix
{
   int rows;
   int cols;
   COMPLEX_FLOAT *t;
};

The elements of a matrix m are arranged as follows:

\begin{displaymath}\left(\begin{array}{cc}
m.t[0] & m.t[1]\vspace{0.2cm}\\
m.t[2] & m.t[3]\end{array}\right)\end{displaymath}

New matrices can be created using quantum_new_matrix:

extern quantum_matrix quantum_new_matrix(int cols, int rows);

To delete a matrix and free its allocated memory, use quantum_delete_matrix:

extern void quantum_delete_matrix(quantum_matrix *m);

quantum_gate2

extern void quantum_gate2(int target1, int target2, quantum_matrix m, quantum_reg *reg);

Provides arbitrary two-bit gates. The parameters are identical to those to quantum_gate1, except that the matrix acts on two qubits, target1 and target2.